AngularAutoCorrelationsTwoAxes v1

../_images/AngularAutoCorrelationsTwoAxes-v1_dlg.png

AngularAutoCorrelationsTwoAxes dialog.

Summary

Calculates the angular auto-correlations of molecules in a simulation along two user-defined axes. The first axis is defined by the vector connecting the average position of species two and the average position of species one (user input). The second axis is perpendicular to axis 1 and is constructed by considering one arbitrary atom of species 3 (user input). Timestep must be specified in femtoseconds.

Properties

Name Direction Type Default Description
InputFile Input string Mandatory Input .nc file with an MMTK trajectory
Timestep Input string 1.0 Time step between two coordinates in the trajectory in femtoseconds
SpeciesOne Input string   Specify the first species, e.g. H, He, Li…
SpeciesTwo Input string   Specify the second species, e.g. H, He, Li…
SpeciesThree Input string   Specify the third species, e.g. H, He, Li…
OutputWorkspace Output Workspace Mandatory Output workspace name
OutputWorkspaceFT Output Workspace FT FT Output workspace name

Description

Loads a netcdf file generated by nMoldyn containing MMTK format trajectories. The algorithm calculates angular auto-correlations of molecule in the simulation along a user-defined axis. The trajectory file must therefore contain molecule definitions. The first axis vector is drawn from the average position of atoms of type SpeciesOne to the average position of atoms of type SpeciesTwo. The second axis vector is drawn by extracting the component, orthogonal to the first axis, of the vector connecting the average position of atoms of type SpeciesTwo and an arbitrary atom of type SpeciesThree.

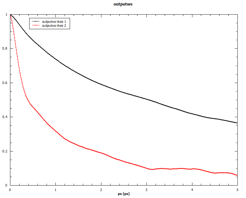
Example

Angular auto-correlations calculated for methyliodide.

../_images/AngularCrossCorrelationsTwoAxes.png

Usage

output_ws, output_ws_ft = AngularCorrelationsTwoAxes(InputFile = 'trajectory_methyliodide.nc',
                                                                                       Timestep = '10.0',
                                                                                       SpeciesOne = 'C',
                                                                                       SpeciesTwo = 'I',
                                                                                       SpeciesThree = 'H')

Categories: AlgorithmIndex | Simulation

Source

Python: AngularAutoCorrelationsTwoAxes.py (last modified: 2018-10-05)