Fit v1

Summary

Fits a function to data in a Workspace

See Also

FitGaussian, UserFunction1D, PlotPeakByLogValue, SplineBackground, EvaluateFunction

Properties

Name

Direction

Type

Default

Description

Function

InOut

Function

Mandatory

Parameters defining the fitting function and its initial values

InputWorkspace

Input

Workspace

Mandatory

Name of the input Workspace

IgnoreInvalidData

Input

boolean

False

Flag to ignore infinities, NaNs and data with zero errors.

DomainType

Input

string

Simple

The type of function domain to use: Simple, Sequential, or Parallel. Allowed values: [‘Simple’, ‘Sequential’, ‘Parallel’]

EvaluationType

Input

string

CentrePoint

The way the function is evaluated on histogram data sets. If value is “CentrePoint” then function is evaluated at centre of each bin. If it is “Histogram” then function is integrated within the bin and the integrals returned. Allowed values: [‘CentrePoint’, ‘Histogram’]

StepSizeMethod

Input

string

Default

The way the step size is calculated for numerical derivatives. See the section about step sizes in the Fit algorithm documentation to understand the difference between “Default” and “Sqrt epsilon”. Allowed values: [‘Default’, ‘Sqrt epsilon’]

PeakRadius

Input

number

0

A value of the peak radius the peak functions should use. A peak radius defines an interval on the x axis around the centre of the peak where its values are calculated. Values outside the interval are not calculated and assumed zeros.Numerically the radius is a whole number of peak widths (FWHM) that fit into the interval on each side from the centre. The default value of 0 means the whole x axis.

Ties

Input

string

Math expressions defining ties between parameters of the fitting function.

Constraints

Input

string

List of constraints

MaxIterations

Input

number

500

Stop after this number of iterations if a good fit is not found

OutputStatus

Output

string

Whether the fit was successful

OutputChi2overDoF

Output

number

Returns the goodness of the fit

Minimizer

Input

string

Levenberg-Marquardt

Minimizer to use for fitting. Allowed values: [‘BFGS’, ‘Conjugate gradient (Fletcher-Reeves imp.)’, ‘Conjugate gradient (Polak-Ribiere imp.)’, ‘Damped GaussNewton’, ‘FABADA’, ‘Levenberg-Marquardt’, ‘Levenberg-MarquardtMD’, ‘Simplex’, ‘SteepestDescent’, ‘Trust Region’]

CostFunction

InOut

string

Least squares

The cost function to be used for the fit, default is Least squares. Allowed values: [‘Least squares’, ‘Poisson’, ‘Rwp’, ‘Unweighted least squares’]

CreateOutput

Input

boolean

False

Set to true to create output workspaces with the results of the fit(default is false).

Output

Input

string

A base name for the output workspaces (if not given default names will be created). The default is to use the name of the original data workspace as prefix followed by suffixes _Workspace, _Parameters, etc.

CalcErrors

Input

boolean

False

Set to true to calcuate errors when output isn’t created (default is false).

OutputCompositeMembers

Input

boolean

False

If true and CreateOutput is true then the value of each member of a Composite Function is also output.

ConvolveMembers

Input

boolean

False

If true and OutputCompositeMembers is true members of any Convolution are output convolved with corresponding resolution

OutputParametersOnly

Input

boolean

False

Set to true to output only the parameters and not workspace(s) with the calculated values (default is false, ignored if CreateOutput is false and Output is an empty string).

Description

Additional properties for a 1D function

If Function defines a one-dimensional function and InputWorkspace is a MatrixWorkspace the algorithm will have these additional properties:

Name

Direction

Type

Default

Description

WorkspaceIndex

Input

integer

0

The spectrum to fit, using the workspace numbering of the spectra

StartX

Input

double

Start of the spectrum

An X value in the first bin to be included in the fit

EndX

Input

double

End of the spectrum

An X value in the last bin to be included in the fit

If Function defines a one-dimensional function and InputWorkspace is a Table Workspace the algorithm will have these additional properties:

Name

Direction

Type

Default

Description

StartX

Input

double

Start of the spectrum

An X value in the first bin to be included in the fit

EndX

Input

double

End of the spectrum

An X value in the last bin to be included in the fit

XColumn

Input

string

The name of the X column.

YColumn

Input

string

The name of the Y column.

ErrColumn

Input

string

The name of the error column.

Changelog

  • In mantid v6.0 the errors/confidence-bounds on the fitted curve were determined using the covariance matrix scaled by the reduced chi-squared (i.e. chi-squared divided by the number of degrees of freedom). Previously it had been scaled by chi-squared.

  • In mantid v6.3 the errors/confidence-bounds on the fitted curve were determined using the covariance matrix without scaling (this makes them consistent with the errors on the best fit parameters).

Overview

This is a generic algorithm for fitting data in a Workspace with a function. The workspace must have the type supported by the algorithm. Currently supported types are: MatrixWorkspace and Table Workspace for fitting with a IFunction1D and MDWorkspace for fitting with IFunctionMD. After Function and InputWorkspace properties are set the algorithm may decide that it needs more information from the caller to locate the fitting data. For example, if a spectrum in a MatrixWorkspace is to be fit with a 1D function it will need to know at least the index of that spectrum. To request this information Fit dynamically creates relevant properties which the caller can set. Note that the dynamic properties depend both on the workspace and the function. For example, the data in a MatrixWorkspace can be fit with a 2D function. In this case all spectra will be used in the fit and no additional properties will be declared. The Function property must be set before any other.

The function and the initial values for its parameters are set with the Function property. A function can be simple or composite. A simple function has a name registered with Mantid framework. The Fit algorithm creates an instance of a function by this name. A composite function is an arithmetic sum of two or more functions (simple or composite). Each function has a number of named parameters, the names are case sensitive. All function parameters will be used in the fit unless some of them are tied. Parameters can be tied by setting the Ties property. A tie is a mathematical expression which is used to calculate the value of a (dependent) parameter. Only the parameter names of the same function can be used as variables in this expression.

Using the Minimizer property, Fit can be set to use different algorithms to perform the minimization. By default if the function’s derivatives can be evaluated then Fit uses the GSL Levenberg-Marquardt minimizer.

In MantidWorkbench this algorithm can be run from the Fit Property Browser which allows all the settings to be specified via its graphical user interface.

The confidence bands (CB) on the calculated fit curve (\(\mathbf{\hat{y}}\)) are obtained using the method outlined in kmpfit. For a function, \(f(\mathbf{p})\), with fit parameters \(\mathbf{p}\), the confidence interval is given by,

\[CB=\mathbf{f}(\mathbf{p}) \pm \mathbf{\sigma_f}\]

with \(\mathbf{\sigma_f}\) defined as,

\[\mathbf{\sigma_f}^2= \sum_{j=0}^{j=n}\sum_{k=0}^{k=n}\frac{\partial f}{\partial p_j}\frac{\partial f}{\partial p_k}\, \mathbf{C}_{jk}\]

where \(\mathbf{C}_{jk}\) are elements of the covariance matrix (not scaled by the reduced chi-squared). This interval defines the region where there is a 68.3% chance to find the true value of \(f(\mathbf{p})\). For further details see reference [1].

Setting a simple function

To use a simple function for a fit set its name and initial parameter values using the Function property. This property is a comma separated list of name=value pairs. The name of the first name=value pairs must be “name” and it must be set equal to the name of one of a simple function. This name=value pair is followed by name=value pairs specifying values for the parameters of this function. If a parameter is not set in Function it will be given its default value defined by the function. All names are case sensitive. For example for fitting a Gaussian the Function property might look like this:

Function: "name=Gaussian, PeakCentre=4.6, Height=10, Sigma=0.5"

Some functions have attributes. An attribute is a non-fitting parameter and can be of one of the following types: text string, integer, or double. Attributes are set just like the parameters using name=value pairs. For example:

Function: "name=UserFunction, Formula=a+b*x, a=1, b=2"

In this example Formula is the name of a string attribute which defines an expression for the user UserFunction. The fitting parameters a and b are created when the Formula attribute is set. It is important that Formula is defined before initializing the parameters.

A list of the available simple functions can be found here.

Setting a composite function

A composite function is a sum of simple functions. It does not have a name. To define a composite function set a number of simple functions in the Function property. Each simple function definition must be separated by a semicolon ‘;’. For example fitting two Gaussians on a linear background might look like this:

Function: "name=LinearBackground, A0=0.3;
           name=Gaussian, PeakCentre=4.6, Height=10, Sigma=0.5;
           name=Gaussian, PeakCentre=7.6, Height=8, Sigma=0.5"

Setting ties

Parameters can be tied to other parameters or to a constant. In this case they do not take part in the fitting but are evaluated using the tying expressions. Use Ties property to set any ties. In case of a simple function the parameter names are used as variables in the tying expressions. For example

Ties: "a=2*b+1, c=2"

This ties parameter “a” to parameter “b” and fixes “c” to the constant 2.

In case of a composite function the variable name must refer to both the parameter name and the simple function it belongs to. It is done by writing the variable name in the following format:

f.

The format consists of two parts separated by a period ‘.’. The first part defines the function by its index in the composite function (starting at 0). The index corresponds to the order in which the functions are defined in the Function property. For example:

Ties: "f1.Sigma=f0.Sigma,f2.Sigma=f0.Sigma"

This ties parameter “Sigma” of functions 1 and 2 to the “Sigma” of function 0. Of course all three functions must have a parameter called “Sigma” for this to work. The last example can also be written

Ties: "f1.Sigma=f2.Sigma=f0.Sigma"

Setting constraints

Parameters can be constrained to be above a lower boundary and/or below an upper boundary. If a constraint is violated a penalty to the fit is applied which should result the parameters satisfying the constraint. The penalty applied is described in more detail here. Use Constraints property to set any constraints. In case of a simple function the parameter names are used as variables in the constraint expressions. For example

Constraints: "4.0 < c < 4.2"

Constraint the parameter “c” to be with the range 4.0 to 4.2, whereas

Constraints: "c > 4.0"

means “c” is constrained to be above the lower value 4.0 and

Constraints: "c < 4.2"

means “c” is constrained to be below the upper value 4.2.

In case of a composite function the same notation is used for constraints and for ties. For example

Constraints: "f1.c < 4.2"

constrain the parameter “c” of function 1.

Fitting to data in a MatrixWorkspace

The error values in the input workspace are used to weight the data in the fit. Zero error values are not allowed and are replaced with ones.

Fitting to histogram data

If the input MatrixWorkspace contains histogram data then there are two ways to evaluate the fit function on it and it can be set via the EvaluationType property. If EvaluationType is “CentrePoint” (which is the default) the function is evaluated at the centre of the bin. If EvaluationType is set to “Histogram” then the function is integrated within each bin and these integrals are used to evaluate the cost function.

The “Histogram” evaluation type will typically give more accurate results when fitting histograms with very large bins. It also less sensitive to a particular binning.

For the next example a spectrum was generated and rebinned to different bin sizes. Each binned spectrum was fitted using both “CentrePoint” (left column) and “Histogram” evaluation (right column). As it can be seen form the plots the “Histogram” fitting gives more consistent results which are also closer to the correct values (Amplitude=20.0, PeakCentre=0.0, FWHM=1.0).

../_images/HistogramFit.png

Currently only the following functions can be used in a fit with “Histogram” evaluation:

If any other functions need to be included in the list please leave a request at the Forum.

Excluding data from fit

Regions of a 1D data set can be excluded from fit with the Exclude property. It is a list of pairs of real numbers which define the regions to exclude. In the following example the regions under the peaks are excluded thus fitting only the background

x = np.linspace(-10, 10, 100)
y = np.exp(-4*(x+3)**2) + np.exp(-4*(x-3)**2) + 0.1 - 0.001*x**2
ws = CreateWorkspace(x, y)
Fit("name=Polynomial,n=2", ws, Exclude=[-5, -1, 1, 5], Output='out')
../_images/FitExcludeRange.png

Peak Radius

The effect of setting PeakRadius to a non-default value can be seen from next figure.

../_images/PeakRadius_Fit.png

It can be used to speed up computations but there is a danger of introducing higher errors.

Step Size

The choice of step size, \(h\), is an important consideration when the derivative of a function is calculated numerically using floating-point arithmetic. Mantid provides two methods for calculating the step size. Depending on the data you are fitting, you might want to use a different step size calculation method than the default.

The Default method calculates the step size as follows:

\(x_0\) range

\(h\)

\(|x_0| < 2.22e-303\)

\(100\epsilon\)

\(|x_0| >= 2.22e-303\)

\(0.001x_0\)

The Sqrt epsilon method calculates the step size as follows:

\(x_0\) range

\(h\)

\(|x_0| < 1\)

\(\sqrt{\epsilon}\)

\(|x_0| >= 1\)

\(x_0\sqrt{\epsilon}\)

where \(x_0\) is the value of the active parameter and \(\epsilon \approx 2.22e-16\).

Output

Two output properties are added if the property ‘CreateOutput’ is set:

  1. OutputParameters

  2. OutputWorkspace (only if OutputParametersOnly is not set)

These two properties are not shown in the table of properties above, as they are declared dynamically, but they can be retrieved after executing the algorithm (as long as the property ‘CreateOutput’ was used). These two output properties provide workspaces which are also added in the Analysis Data Service (ADS) with names defined by appending a suffix to the name of the original data workspace. You can replace the name of the workspace with a different name if you give a value to the property ‘Output’ which redefines the base name of the output workspaces.

OutputParameters is a TableWorkspace with the fitted parameter values. OutputWorkspace is a Workspace2D which compares the fit with the original data. The names given to these workspaces are built by appending the suffixes “_Parameters” and “_Workspace” to the name given in the input property ‘Output’. For example, if ‘Output’ was set to “MyResults” the name of the parameter TableWorkspace will be “MyResults_Parameters” and the name of the Workspace2D will be “MyResults_Workspace”.

The Workspace2D produced in the output property ‘OutputWorkspace’ (example name: “MyResults_Workspace”) has three spectra:

  1. The first spectrum (workspace index 0) contains the original data.

  2. The second spectrum is the data simulated with the fitted function.

  3. The third spectrum is the difference between the first two.

Also, if the function’s derivatives can be evaluated an additional TableWorkspace is produced. If for example the property Output is set to “MyResults” then this TableWorkspace will have the name “MyResults_NormalisedCovarianceMatrix” and it contains a calculated correlation matrix. Denote this matrix \(\rm C\) and its elements \(c_{ij}\) then the diagonal elements are listed as 1.0 and the off diagonal elements as percentages of correlation between parameter \(i\) and \(j\) equal to

\[100 \cdot c_{ij} / \sqrt{c_{ii} \cdot c_{jj}}.\]

Multiple Fit

It is possible to fit to multiple data sets using the fit algorithm. This can be either simultaneously or sequentially. There are a few differences to a single fit. Firstly is that the CompositeFunction must be a MultiDomainFunction and each of the individual fitting functions must include $domain=i. The extra workspaces can be added by placing an _i after InputWorkspace and InputWorkspaceIndex starting with \(i=1\) for the second workspace. It is also possible to set the fitting range for each data set individually in the same way as the InputWorkspace. If a variable is to be fitted using data from multiple data sets then a tie has to be used. The values that are tied will have the same value and be calculated from multiple data sets.

Examples

This example shows a simple fit to a Gaussian function. The algorithm properties are:

InputWorkspace:  Test
WorkspaceIndex:  0
Function:        name=Gaussian, PeakCentre=4, Height=1.3, Sigma=0.5
Output:          res
GaussianFit.jpg

GaussianFit.jpg


The next example shows a fit of the same data but with a tie.

InputWorkspace:  Test
WorkspaceIndex:  0
Function:        name=Gaussian, PeakCentre=4, Height=1.3, Sigma=0.5
Ties:            Sigma=Height/2
Output:          res
GaussianFit_Ties.jpg

GaussianFit_Ties.jpg


This example shows a fit of two overlapping Gaussians on a linear background. Here we create a composite function with a LinearBackground and two Gaussians:

InputWorkspace:  Test
WorkspaceIndex:  0
Function:        name=LinearBackground,A0=1;
                 name=Gaussian,PeakCentre=4,Height=1.5, Sigma=0.5;
                 name=Gaussian,PeakCentre=6,Height=4, Sigma=0.5
Output:          res
Gaussian2Fit.jpg

Gaussian2Fit.jpg


This example repeats the previous one but with the Sigmas of the two Gaussians tied:

InputWorkspace:  Test
WorkspaceIndex:  0
Function:        name=LinearBackground,A0=1;
                 name=Gaussian,PeakCentre=4,Height=1.5, Sigma=0.5;
                 name=Gaussian,PeakCentre=6,Height=4, Sigma=0.5
Ties:            f2.Sigma = f1.Sigma
Output:          res
Gaussian2Fit_Ties.jpg

Gaussian2Fit_Ties.jpg

Usage

Example - Fit a Gaussian to a peak in a spectrum:

# create a workspace with a gaussian peak sitting on top of a linear (here flat) background
ws = CreateSampleWorkspace(Function="User Defined", UserDefinedFunction="name=LinearBackground, \
   A0=0.3;name=Gaussian, PeakCentre=5, Height=10, Sigma=0.7", NumBanks=1, BankPixelWidth=1, XMin=0, XMax=10, BinWidth=0.1)

# Setup the data to fit:
workspaceIndex = 0  # the spectrum with which WorkspaceIndex to fit
startX = 1      # specify fitting region
endX = 9      #

# Setup the model, here a Gaussian, to fit to data
tryCentre = '4'   # A start guess on peak centre
sigma = '1'          # A start guess on peak width
height = '8'         # A start guess on peak height
myFunc = 'name=Gaussian, Height='+height+', PeakCentre='+tryCentre+', Sigma='+sigma
# here purposely haven't included a linear background which mean fit will not be spot on
# to include a linear background uncomment the line below
#myFunc = 'name=LinearBackground, A0=0.3;name=Gaussian, Height='+height+', PeakCentre='+tryCentre+', Sigma='+sigma

# Do the fitting
fit_output = Fit(InputWorkspace='ws', WorkspaceIndex=0, StartX = startX, EndX=endX, Output='fit', Function=myFunc)
paramTable = fit_output.OutputParameters  # table containing the optimal fit parameters
fitWorkspace = fit_output.OutputWorkspace

print("The fit was: {}".format(fit_output.OutputStatus))
print("chi-squared of fit is: {:.2f}".format(fit_output.OutputChi2overDoF))
print("Fitted Height value is: {:.2f}".format(paramTable.column(1)[0]))
print("Fitted centre value is: {:.2f}".format(paramTable.column(1)[1]))
print("Fitted sigma value is: {:.2f}".format(paramTable.column(1)[2]))
# fitWorkspace contains the data, the calculated and the difference patterns
print("Number of spectra in fitWorkspace is: {}".format(fitWorkspace.getNumberHistograms()))
print("The 20th y-value of the calculated pattern: {:.4f}".format(fitWorkspace.readY(1)[19]))

Output:

The fit was: success
chi-squared of fit is: ...
Fitted Height value is: ...
Fitted centre value is: ...
Fitted sigma value is: ...
Number of spectra in fitWorkspace is: ...
The 20th y-value of the calculated pattern: ...

Example - Fit a Gaussian to a Table Workspace:

import math

#Create a table workspace with a gaussian curve and a flat background of 0.5
tableWS = CreateEmptyTableWorkspace()
tableWS.addColumn(type="double",name="X data")
tableWS.addColumn(type="double",name="Y data")
tableWS.addColumn(type="double",name="Errors")

for i in range(0,99):
    xValue = i * 0.1
    yValue = 10 * math.exp(-0.5 * (xValue - 5.0)**2 / 0.7**2 ) + 0.5
    eValue = 0.5
    tableWS.addRow ( {'X data': xValue, 'Y data': yValue, 'Errors': eValue} )

# Do the fitting
myFunc = 'name=Gaussian, PeakCentre=4, Height=8, Sigma=1'
fit_output = Fit(InputWorkspace=tableWS, StartX = 1, EndX=20, Output='fit', Function=myFunc, \
                 XColumn = 'X data', YColumn = 'Y data', ErrColumn = 'Errors')
paramTable = fit_output.OutputParameters
fitWorkspace = fit_output.OutputWorkspace

print("The fit was: {}".format(fit_output.OutputStatus))
print("chi-squared of fit is: {:.2f}".format(fit_output.OutputChi2overDoF))
print("Fitted Height value is: {:.2f}".format(paramTable.column(1)[0]))
print("Fitted centre value is: {:.2f}".format(paramTable.column(1)[1]))
print("Fitted sigma value is: {:.2f}".format(paramTable.column(1)[2]))
# fitWorkspace contains the data, the calculated and the difference patterns
print("Number of spectra in fitWorkspace is: {}".format(fitWorkspace.getNumberHistograms()))
print("The 20th y-value of the calculated pattern: {:.4f}".format(fitWorkspace.readY(1)[19]))

Output:

The fit was: success
chi-squared of fit is: 0.59
Fitted Height value is: 10.33
Fitted centre value is: 5.00
Fitted sigma value is: 0.75
Number of spectra in fitWorkspace is: 3
The 20th y-value of the calculated pattern: 0.2125

Example - Fit to two data sets simultaneously:

import math
import numpy as np

# create data
xData=np.linspace(start=0,stop=10,num=22)
yData=[]
for x in xData:
    yData.append(2.0)
yData2=[]
for x in xData:
    yData2.append(5.0)
# create workspaces
input = CreateWorkspace(xData,yData)
input2 = CreateWorkspace(xData,yData2)
# create function
myFunc=';name=FlatBackground,$domains=i,A0=0'
multiFunc='composite=MultiDomainFunction,NumDeriv=1'+myFunc+myFunc+";"
# do fit
fit_output = Fit(Function=multiFunc, InputWorkspace=input, WorkspaceIndex=0, \
                 InputWorkspace_1=input2, WorkspaceIndex_1=0, \
                 StartX = 0.1, EndX=9.5, StartX_1 = 0.1, EndX_1=9.5,Output='fit' )
paramTable = fit_output.OutputParameters  # table containing the optimal fit parameters
# print results
print("Constant 1: {0:.2f}".format(paramTable.column(1)[0]))
print("Constant 2: {0:.2f}".format(paramTable.column(1)[1]))

Output:

Constant 1: 2.00
Constant 2: 5.00

Example - Fit to two data sets with shared parameter:

import math
import numpy as np

# create data
xData=np.linspace(start=0,stop=10,num=22)
yData=[]
for x in xData:
    yData.append(2.0)
yData2=[]
for x in xData:
    yData2.append(5.0)
# create workspaces
input = CreateWorkspace(xData,yData)
input2 = CreateWorkspace(xData,yData2)
# create function
myFunc=';name=FlatBackground,$domains=i,A0=0'
multiFunc='composite=MultiDomainFunction,NumDeriv=1'+myFunc+myFunc+';ties=(f0.A0=f1.A0)'
# do fit
fit_output = Fit(Function=multiFunc, InputWorkspace=input, WorkspaceIndex=0, \
                 InputWorkspace_1=input2, WorkspaceIndex_1=0, \
                 StartX = 0.1, EndX=9.5, StartX_1 = 0.1, EndX_1=9.5,Output='fit')
paramTable = fit_output.OutputParameters  # table containing the optimal fit parameters
# print results
print("Constant 1: {0:.2f}".format(paramTable.column(1)[0]))
print("Constant 2: {0:.2f}".format(paramTable.column(1)[1]))

Output:

Constant 1: 3.50
Constant 2: 3.50

Example - Fit to two data sets with one shared parameter:

import math
import numpy as np

# create data
xData=np.linspace(start=0,stop=10,num=22)
yData=[]
for x in xData:
    yData.append(2.0*x+10.)
yData2=[]
for x in xData:
    yData2.append(5.0*x+7.)
# create workspaces
input = CreateWorkspace(xData,yData)
input2 = CreateWorkspace(xData,yData2)
# create function
myFunc=';name=LinearBackground,$domains=i,A0=0,A1=0'
multiFunc='composite=MultiDomainFunction,NumDeriv=1'+myFunc+myFunc+';ties=(f0.A1=f1.A1)'
# do fit
fit_output = Fit(Function=multiFunc, InputWorkspace=input, WorkspaceIndex=0, \
                 InputWorkspace_1=input2, WorkspaceIndex_1=0, \
                 StartX = 0.1, EndX=9.5, StartX_1 = 0.1, EndX_1=9.5,Output='fit')
paramTable = fit_output.OutputParameters  # table containing the optimal fit parameters
# print results
print('Gradients (shared):')
print("Gradient 1: {0:.2f}".format(paramTable.column(1)[3]))
print("Gradient 2: {0:.2f}".format(paramTable.column(1)[1]))
print('offsets:')
print("Constant 1: {0:.2f}".format(paramTable.column(1)[0]))
print("Constant 2: {0:.2f}".format(paramTable.column(1)[2]))

Output:

Gradients (shared):
Gradient 1: 3.50
Gradient 2: 3.50
offsets:
Constant 1: 2.86
Constant 2: 14.14

Example - Fit to two data sets with one shared parameter, and different fit functions:

from mantid.simpleapi import *
import numpy as np

# Create workspaces
x_values = np.linspace(start=1.0,stop=10.0,num=22)
y_values1 = [2.0*x + 10.0 for x in x_values]
y_values2 = [5.0/x + 10.0 for x in x_values]

input_workspace1 = CreateWorkspace(x_values, y_values1)
input_workspace2 = CreateWorkspace(x_values, y_values2)

# Create MultiDomainFunction where datasets have different fitting functions
multi_domain_function = FunctionFactory.createInitializedMultiDomainFunction('name=CompositeFunction', 2)

flat_background = FunctionFactory.createInitialized("name=FlatBackground")
linear_background = FunctionFactory.createInitialized("name=LinearBackground")
exp_decay = FunctionFactory.createInitialized("name=ExpDecay")

composite1 = multi_domain_function.getFunction(0)
composite1.add(flat_background)
composite1.add(linear_background)

composite2 = multi_domain_function.getFunction(1)
composite2.add(flat_background)
composite2.add(exp_decay)

# Tie the FlatBackground which is common for both datasets
function_string = str(multi_domain_function)
function_string += ";ties=(f1.f0.A0=f0.f0.A0)"

# Perform the fit
fit_output = Fit(Function=function_string,
                 InputWorkspace=input_workspace1, WorkspaceIndex=0, StartX = 1.0, EndX=10.0,
                 InputWorkspace_1=input_workspace2, WorkspaceIndex_1=0, StartX_1 = 1.0, EndX_1=10.0,
                 Output='fit')

# Print Results
param_values = fit_output.OutputParameters.column(1)
print("Tied parameters (shared):")
print("Workspace1 FlatBackground.A0: {0:.2f}".format(param_values[0]))
print("Workspace2 FlatBackground.A0: {0:.2f}".format(param_values[3]))
print("Other Parameters:")
print("Workspace1 LinearBackground.A0: {0:.2f}".format(param_values[1]))
print("Workspace1 LinearBackground.A1: {0:.2f}".format(param_values[2]))
print("Workspace2 ExpDecay.Height: {0:.2f}".format(param_values[4]))
print("Workspace2 ExpDecay.Lifetime: {0:.2f}".format(param_values[5]))

Output:

Tied parameters (shared):
Workspace1 FlatBackground.A0: 10.64
Workspace2 FlatBackground.A0: 10.64
Other Parameters:
Workspace1 LinearBackground.A0: -0.64
Workspace1 LinearBackground.A1: 2.00
Workspace2 ExpDecay.Height: 8.44
Workspace2 ExpDecay.Lifetime: 1.40

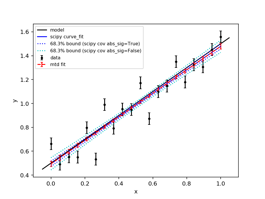
Comparison with scipy.optimize.curve_fit

The scipy.optimize.curve_fit function is a commonly used optimiser for fitting models to data. By default curve_fit scales the covariance matrix from the fit by the reduced chi-squared statistic - this is equivalent to scaling the errorbars on the data points such that the reduced chi-squared is unity (the expectation value for a “good” fit). This can be desirable if a fit is performed with unit weights or the weights are only to be interpreted as relative.

In mantid the weights are typically calculated from the error on a number of counts using Poisson statistics and should be interpreted as absolute. Therefore, the mantid Fit algorithm does not scale the covariance matrix by the reduced chi-squared (since v6.3). The scaling of the covariance matrix in curve_fit is governed by the absolute_sigma parameter (by default absolute_sigma = False). Here we show that the mantid Fit algorithm and curve_fit give the same result when absolute_sigma=True.

from mantid.simpleapi import *
import matplotlib.pyplot as plt
import numpy as np
from scipy import optimize
from scipy.stats import t

def func(x, c ,m):
    return m*x + c

def confidence_band(x, yfit, covar, dfdp, confprob=0.6826):
   alpha = 1 - confprob
   prb = 1.0 - alpha/2
   nparams = pcov_true.shape[0]
   dof = len(x)-nparams
   tval = t.ppf(prb, dof)
   df_sq = np.zeros(x.shape)
   for j in range(nparams):
      for k in range(nparams):
         df_sq  += dfdp[j]*dfdp[k]*covar[j,k]
   df = np.sqrt(df_sq)
   delta = tval * df
   upperband = yfit + delta
   lowerband = yfit - delta
   return upperband, lowerband

# Generate data
noise_stdev = 0.1
err_scale = 0.5  # 1 => chi-squared ~ 1 (i.e. errorbars will correspond to stdev of simulated noise)
m0 = 1
c0 = 0.5
x = np.linspace(0,1,20)
np.random.seed(1)
y = np.random.normal(func(x, c0, m0), noise_stdev)
e = err_scale*noise_stdev*np.ones(x.shape)
ws = CreateWorkspace(DataX=x,DataY=y, DataE=e, EnableLogging=False)

# initial guess
p0 = [1,2]  # c, m

# scipy
popt, pcov_false = optimize.curve_fit(func, x, y, p0, sigma=e,
    absolute_sigma=False)
perr_false = np.sqrt(np.diag(pcov_false))
_, pcov_true = optimize.curve_fit(func, x, y, p0, sigma=e,
    absolute_sigma=True)  # popt does not depend on absolute_sigma
perr_true = np.sqrt(np.diag(pcov_true))
chisq = np.sum(((y - func(x, *popt))/e)**2)
red_chisq = chisq/(len(x) - len(popt))
# calc confidence limits
dfdp = [1, x]  # dy/dparam = [dy/dc, dy/dm]
upper_true, lower_true = confidence_band(x, func(x, *popt), pcov_true, dfdp)
upper_false, lower_false = confidence_band(x, func(x, *popt), pcov_false, dfdp)

# mantid
fit = Fit(Function='name=LinearBackground,A0={0},A1={1}'.format(*p0),
    InputWorkspace='ws', IgnoreInvalidData=True, Output='ws', OutputCompositeMembers=True)

popt_mtd = [fit.Function.function.getParameterValue(iparam) for
    iparam in range(fit.Function.function.nParams())]
perr_mtd = [fit.Function.function.getError(iparam) for
    iparam in range(fit.Function.function.nParams())]
red_chisq_mtd = fit.OutputChi2overDoF

# compare mantid and scipy

print('### scipy curve_fit ###')
print("red chisq = ", red_chisq)
print("popt = ", popt)
print('abs_sigma=False:\t perr = ', perr_false)
print('abs_sigma=True:\t perr = ', perr_true)
print('### mantid ###')
print("red chisq = ", red_chisq_mtd)
print("popt = ", popt_mtd)
print('perr =', perr_mtd)

fig, ax = plt.subplots(subplot_kw={'projection': 'mantid'})
ax.errorbar(x, y, yerr=e, color = 'k',
    marker='o', markersize=3, capsize=2, ls='', label = 'data')
ax.plot(ax.get_xlim(), func(np.array(ax.get_xlim()), c0, m0), '-k', label = 'model')
ax.plot(x, func(x, *popt), '-b', label = 'scipy curve_fit')
ax.plot(x, upper_true, ':b', label = '68.3% bound (scipy cov abs_sig=True)')
ax.plot(x, lower_true, ':b')
ax.plot(x, upper_false, ':c', label = '68.3% bound (scipy cov abs_sig=False)')
ax.plot(x, lower_false, ':c')
ax.errorbar(fit.OutputWorkspace, wkspIndex=1,
    color = 'r', ls ='--', capsize=2, label='mtd fit')
ax.set_xlabel('x')
ax.set_ylabel('y')
ax.legend(fontsize=8.0).set_draggable(True).legend
fig.show()
../_images/ScipyCurveFit_Mantid_comparison_LinearFit.png

Example - Fit two data sets that has nan or infinite values:

from mantid.simpleapi import *
import numpy as np

# create data
xData=np.linspace(start=0,stop=10,num=22)

yData=[]
for x in xData:
    yData.append(2.0)

yData2=[]
for x in xData:
    yData2.append(5.0)

yData[11] = np.nan
yData2[11] = np.inf

eData = [0.01] * len(xData)
eData2 = [0.01] * len(xData)

# create workspaces
input = CreateWorkspace(xData,yData, eData)
input2 = CreateWorkspace(xData,yData2, eData2)

# create function
myFunc=';name=FlatBackground,$domains=i,A0=0'
multiFunc='composite=MultiDomainFunction,NumDeriv=1'+myFunc+myFunc+";"

# do fit
fit_output = Fit(Function=multiFunc, InputWorkspace=input, WorkspaceIndex=0, \
                InputWorkspace_1=input2, WorkspaceIndex_1=0, \
                StartX = 0.1, EndX=9.5, StartX_1 = 0.1, EndX_1=9.5,Output='fit',
                IgnoreInvalidData=True)

paramTable = fit_output.OutputParameters  # table containing the optimal fit parameters

# print results
print("Constant 1: {0:.2f}".format(paramTable.column(1)[0]))
print("Constant 2: {0:.2f}".format(paramTable.column(1)[1]))

Output:

Constant 1: 2.00
Constant 2: 5.00

References

[1] Vogelaar, M.G.R., kmpfit. University of Groningen, The Netherlands (https://www.astro.rug.nl/software/kapteyn/kmpfittutorial.html)

Categories: AlgorithmIndex | Optimization

Source

C++ header: Fit.h

C++ source: Fit.cpp