\(\renewcommand\AA{\unicode{x212B}}\)

AngularAutoCorrelationsTwoAxes v1

../_images/ImageNotFound.png

Enable screenshots using DOCS_SCREENSHOTS in CMake

Summary

Calculates the angular auto-correlations of molecules in a simulation along two user-defined axes. The first axis is defined by the vector connecting the average position of species two and the average position of species one (user input). The second axis is perpendicular to axis 1 and is constructed by considering one arbitrary atom of species 3 (user input). Timestep must be specified in femtoseconds.

Properties

Name

Direction

Type

Default

Description

InputFile

Input

string

Mandatory

Input .nc file with an MMTK trajectory

Timestep

Input

string

1.0

Time step between two coordinates in the trajectory in femtoseconds

SpeciesOne

Input

string

Specify the first species, e.g. H, He, Li…

SpeciesTwo

Input

string

Specify the second species, e.g. H, He, Li…

SpeciesThree

Input

string

Specify the third species, e.g. H, He, Li…

OutputWorkspace

Output

Workspace

Mandatory

Output workspace name

OutputWorkspaceFT

Output

Workspace

FT

FT Output workspace name

Description

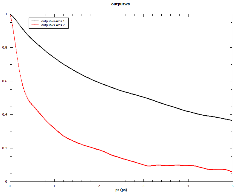
Loads a netcdf file generated by nMoldyn containing MMTK format trajectories. The algorithm calculates angular auto-correlations of molecule in the simulation along a user-defined axis. The trajectory file must therefore contain molecule definitions. The first axis vector is drawn from the average position of atoms of type SpeciesOne to the average position of atoms of type SpeciesTwo. The second axis vector is drawn by extracting the component, orthogonal to the first axis, of the vector connecting the average position of atoms of type SpeciesTwo and an arbitrary atom of type SpeciesThree.

Example

Angular auto-correlations calculated for methyliodide.

../_images/AngularCrossCorrelationsTwoAxes.png

Usage

output_ws, output_ws_ft = AngularCorrelationsTwoAxes(InputFile = 'trajectory_methyliodide.nc',
                                                                                       Timestep = '10.0',
                                                                                       SpeciesOne = 'C',
                                                                                       SpeciesTwo = 'I',
                                                                                       SpeciesThree = 'H')

Categories: AlgorithmIndex | Simulation

Source

Python: AngularAutoCorrelationsTwoAxes.py