Redfield#

Description#

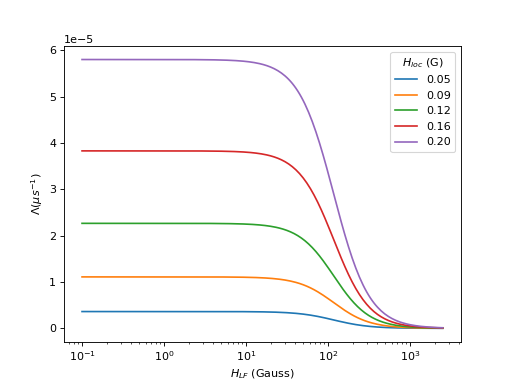
The Redfield formula for the Longitudinal Field (LF) dependence of the muon spin relaxation rate, \(\Lambda\), given in units of \(\mu s^{-1}\), with the applied longitudinal magnetic field, for given local magnetic field (\(H_\text{loc}\)) and correlation time of fluctuations at muon spin sites (\(\tau\)) is:

\[\Lambda(t)= \frac{2\gamma^2_\mu H^2_\text{loc}\tau}{1+\gamma^2_\mu H^2_\text{LF} \tau^2}\]

where,

\(H_\text{loc}\) is the local magnetic field, in Gauss,

\(H_\text{LF}\) is the applied longitudinal magnetic field, in Gauss,

\(\tau\) is the muon spin correlation time, in microseconds, with expression given as \(\tau = \frac{1}{f}\) where \(f\) is the frequency of fluctuation at muon sites.

And \(\gamma_\mu\) is the gyromagnetic ratio of the muon spin, given in units of \([rad]x\frac{MHz}{Gauss}\)

(Source code, png, hires.png, pdf)

../../_images/Redfield-1.png

Properties (fitting parameters)#

Name

Default

Description

Hloc

0.1

Local magnetic field (G)

Tau

0.1

Correlation time of muon spins (microsec)

References#

[1] Takao Suzuki et al, J. Phys.: Conf. Ser. 502 012041 (2014).

Categories: FitFunctions | Muon\MuonModelling

Source#

Python: Redfield.py